“Postclosure” interpretation is used to infer formation permeability from DFIT pressure measurements. As reviewed in previous posts, the goal of a DFIT is to infer formation properties, of which permeability is one of the most important. A plot of pressure versus G-time can be used to infer permeability from the early-time “preclosure” data. In postclosure interpretation, the late-time data is used to infer permeability. It is best to infer permeability from both the preclosure and the postclosure data and compare between the two and see if they match up.
Often, postclosure interpretations are performed with a plot of pressure versus a specialized function called “the linear flow time function,” FL. I don’t recommend using plots based on FL because comparable interpretation results can be achieved using simpler, more intuitive plots. I believe that FL plots make things unnecessarily confusing. But plots using FL are widely used, so it useful to understand them.
The first thing to consider is whether flow away from the fracture is “linear” or “radial”. When a fracture forms, the pressure disturbance in the formation initially propagates linearly away from the fracture, perpendicular to the fracture face. The pressure disturbance spreads away from the fracture in every direction, and so eventually, the pressure perturbation becomes ellipsoidal and then approximately radial. The duration of time until the perturbation becomes radial depends on the permeability (which affects how quickly the pressure disturbance can spread) and the fracture length. In a typical DFIT, the permeability is low and the fracture is long. Therefore, in a typical DFIT, it takes longer to reach radial flow than the duration of the test, and radial flow is not observed. On the other hand, linear flow is commonly observed.
The figure below shows the pressure perturbation during shut-in from a ResFrac DFIT simulation. The pressure perturbation is ellipsoidal. Initially, the pressure spread linearly from the fracture, but enough time has passed that the perturbation has become ellipsoidal. Eventually, it will become radial.
Before discussing FL plots, let’s go through the underlying theory of postclosure interpretation. I will explain how to do a postclosure interpretation without using FL plots. Then I will draw the connection between FL plots and interpretation methods that do not use FL plots. A good explanation of how to perform postclosure interpretation without FL plots is provided in the paper “New Method for Determination of Formation Permeability…” by Soliman et al. (2005).
During postclosure linear flow, pressure perturbation is proportional to shut-in time to the -1/2 power. During postclosure radial flow, pressure perturbation is proportional to shut-in time to the -1.0 power. These behaviors can be identified with the standard well test analysis plot, a log-log plot of the derivative of pressure with respect to the logarithm of shut-in time (see SPE 12777 by Bourdet et al., 1989). Note that if the derivative is taken with respect to the logarithm of superposition time, which is often done, then the log-log plot becomes more complicated to interpret, as explained in my recent paper, SPE 182593. Log-log derivative plots have the useful property that the slope of the curve is equal to the scaling of pressure with time. So linear flow with t^-1/2 scaling has a slope of -1/2, and radial flow with t^-1 scaling has a slope of -1.0. Because of this property, log-log plots can be used to identify when linear flow or radial flow are occurring, based on whether there is a -1/2 slope or a -1 slope. For example, in the below log-log plot of a ResFrac DFIT simulation, a -1/2 slope can be observed at the end of the transient, indicating linear flow.
You may not see a clear linear flow trend or a radial flow trend. If you see a -1/2 slope or -1 slope but the trend does not last at least one-half of a log-cycle on the x-axis, then you cannot be confident that you have a reliable interpretation.
To calculate permeability from the linear flow period or the radial flow period, you can plot pressure versus the inverse of the square root of time or the inverse of time, measure the slope of the line, and use analytical solutions to calculate permeability from the slope. A detailed explanation is provided in the paper SPE 25425 by Gu et al. (1993). The below figure shows a plot of pressure versus one over the square root of time for the transient shown in the plot above. The linear flow period is seen in the straight line on the left of the plot (time is increasing as you move left along the x-axis). The slope of the curve can be used to infer permeability.
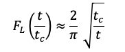
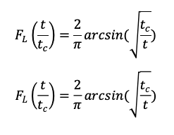
Now that I’ve (very briefly) covered the basics of postclosure interpretation, I can explain the meaning of FL plots. This is only a brief discussion. For more detail, I recommend referring to Section 9-6 from the book “Reservoir Stimulation” edited by Economides and Nolte (with Chapter 9 written by Gulrajani and Nolte). FL is defined as:
Where t is the time since start of injection and tc is the time to closure. The arcsin function is the inverse of the sin function. Here is an important property of the arcsin function – if the argument inside the arcsin is less than roughly 0.6, then arcsin(x) is approximately equal to x. In other words, if t is more than three times greater than tc, then:
How does this relate to post closure analysis? As discussed above, if you plot pressure versus one over the square root of time, then during postclosure linear flow, you can use the slope to calculate permeability. Since FL is approximately proportional to one over the square root of time, it has the same property. Plots of pressure versus FL make a straight line during postclosure linear flow.
So why was the FL function developed? Why not just use plots of one over the square root of time? At the beginning of postclosure linear flow, pressure does not scale with one over the square root of time. The t^-1/2 scaling begins a bit later. According to certain idealized assumptions, it can be shown that FL is proportional to the pressure trend, during the entire postclosure linear period, even before the onset of t^-1/2 scaling (these assumptions are described in SPE 38676 by Nolte et al., 1997). Nolte et al. (1997) proposed to use the FL function to infer permeability using data from the postclosure linear period before the onset of t^-1/2 scaling. There are two issues with this idea. First, in DFITs, shut-in usually lasts long enough that a clean -1/2 slope is apparent, and so there is no need to attempt to infer permeability from the early postclosure linear flow period. Second, the FL function is derived by making the assumption that there is no fluid remaining in the fracture at closure. This does not seem like a good assumption to me – fracture walls are rough and so fractures continue to store fluid after the walls come into contact (for more discussion of this topic, refer to a paper I coauthored, SPE 179725). Consequently, I am doubtful that you can reliably use FL to infer permeability prior to the onset of t^-1/2 scaling (and typically this isn’t necessary, anyway).
The FL plot can also be used to estimate permeability from postclosure radial flow. In this case, permeability is plotted versus FL^2. From the above discussion, you can see that if shut-in time is greater than 3*tc, then FL^2 is proportional to one divided by shut-in time. Also discussed above, during postclosure radial, pressure is linearly proportional to one divided by shut-in time. So during postclosure radial, a plot of pressure versus FL^2 will make a straight line and can be used to infer permeability. But the same can be accomplished with a plot of one divided by shut-in time. There is no advantage to using a plot of FL^2 instead of one divided by shut-in time.
Finally, 1.0/FL^2 is used in log-log plots to diagnose linear and radial flow. These log-log plot shows the derivative of pressure with respect to 1.0/FL^2, plotted with 1.0/FL^2 on the x-axis. Alternatively, sometimes people plot the derivative of pressure with respect to FL^2 with FL^2 on the x-axis. It doesn’t really matter which you choose – log-log plots using FL^2 and 1.0/FL^2 are mirror images of each other. During postclosure linear, the log-log 1.0/FL^2 derivative curve has slope of -1/2, and during postclosure radial it has a slope of -1.0.
The figure below shows the transient shown above in a 1.0/FL^2 plot. You can see the -1/2 slope that corresponds to postclosure linear flow.
The log-log 1.0/FL^2 plot can be used to identify the onset of the postclosure linear trend. But the same can be accomplished with the simpler and more intuitive log-log derivative plot using shut-in time, as shown above.
Why can the 1.0/FL^2 plot be used to diagnose flow regimes? From the above equations, you can derive that 1.0/FL^2 is linearly proportional to shut-in time as long as shut-in time is greater than 3*tc. Let that soak in – a 1.0/FL^2 plot simplifies to being proportional to shut-in time. In other words, a 1/FL^2 plot is a complicated way to transform shut-in time into… shut-in time! The result is a curve with the same shape and interpretation as the standard log-log pressure derivative plot.
To summarize, postclosure permeability estimation can be accomplished without using plots based on FL. Flow regimes can be diagnosed using the standard log-log derivative plot (with derivative taken with respect to shut-in time). Permeability can be inferred quantitatively with plots of pressure versus shut-in time to the -1/2 power or -1.0 power.
Diagnostic log-log derivative plots using 1.0/FL^2 or FL^2 are used to diagnose postclosure regimes in the same way as standard log-log derivative plots. Permeability can be estimated quantitatively with plots of pressure versus FL or FL^2. It has been argued that the FL function can be used to infer permeability in the period when shut-in time is greater than tc and less than 3*tc. But this is based on the questionable assumption that no fluid remains in the fracture after closure, and typically the shut-in lasts longer than 3*tc. In future research, I plan to use ResFrac to perform simulations and test if the FL function can give good permeability estimates if t < 3*tc, even if a substantial amount of fluid remains in the fracture after closure.
I recommend against using FL (linear flow time function) plots. FL plots make things more complicated, and it is questionable whether they improve interpretation. But they are widely used, and so you’ll need to understand them. I hope this post helps.





