Introduction
Back in February, I was at an SPE DFIT workshop where David Craig (one of the vocal advocates of the ‘holistic’ method of picking fracture closure) said that he would have a paper at the SPE ATCE with field data that directly validates the holistic method and refutes the fracture compliance method. He declined to share the paper with me in advance or even discuss it with me, so I have had to wait. ATCE has arrived, and finally I can read the paper! This blog post is a detailed breakdown. The paper is “Fracture Closure Stress: Reexamining Field and Laboratory Experiments of Fracture Closure Using Modern Interpretation Methodologies,” SPE 187038, by Craig, Barree, Warpinski, and Blasingame.
Bottom line, the authors’ claims are completely unsupported by the data presented in the paper. In fact, the tiltmeter data they present is a perfect validation of the fracture compliance method, the opposite of what they claim. Tiltmeter data from this well was previously analyzed by Nolte and Gulrajani and shown in Figure 9A-4 in the popular textbook “Reservoir Stimulation”. Nolte’s interpretation directly contradicts the ‘reopening’ pick from Craig et al. (2017) and is consistent with the fracture compliance method, a fact that Craig et al. (2017) do not mention or attempt to address.
This new paper by Craig et al. tries to give the impression that it has conclusively validated the holistic method and refuted the compliance method. My goal in writing this blog post is to communicate that their conclusions should not be accepted uncritically. I am concerned that considerable confusion will result if readers read this paper by Craig et al. and are unaware that it has significant problems. A few weeks after it was published, I can see it is one of the top downloaded papers on OnePetro!
This post is organized into several sections. First, I provide some background and context for the current discussion. I assume the reader is already familiar with the subject of DFITs and picking fracture closure. If you are not, please refer to my previous blog posts. An excellent general introduction to the topic is provided in Chapter 7 of Reservoir Geomechanics by Mark Zoback. In the next section, I provide a discussion of the tiltmeter data reviewed by Craig et al. (2017). As stated above, the data gives strong support for the fracture compliance method, even though the authors amazingly claim the opposite! Finally, I provide a critique of Craig et al.’s discussion of laboratory fracturing tests. Their G-function interpretation of the laboratory tests is invalid because the lab tests have very large pressure drop prior to closure (net pressure is very high because fracture strength is scale-dependent and lab-scale fracture are very small). The G-function is derived based on the assumption of Carter leakoff, which is only valid if fracture pressure is approximately valid. The very large drop in pressure prior to closure causes a strong tendency for G*dP/dG to curve down throughout the transient, due to the deviation from Carter leakoff. This effect overprints on top of the pressure response and makes it impossible to perform a meaningful interpretation from a G-function plot. This topic is also addressed extensively in a prior post.
Background and context
The ‘holistic’ method is the mostly widely used method for picking fracture closure from the pressure transient in diagnostic fracture injection tests. The canonical paper on the holistic method is “Holistic Fracture Diagnostics: Consistent Interpretation of Prefrac Injection Tests Using Multiple Analysis Methods” by Barree, Barree, and Craig.
A few years ago, Dave Cramer, Mukul Sharma, Hojung Jung, and I developed a mathematical theory describing how pressure transients respond to closure (see SPE 170956 and 179725). We were surprised to find that the theory predicts the holistic method is incorrect. Using an innovative fracturing simulator designed to realistically handle fracture closure, we proposed an alternative approach to identifying closure called the ‘fracture compliance method.’ We validated the method with field data in which we compared pressure measurements during shut-in with tiltmeters in offset wells (another field validation can be seen from comparison of the reopening pressure and closure transients shown in Figs. 11-14 from SPE 169009). We looked carefully at papers written by advocates of the holistic method, and realized that they have never provided a mathematical theory justifying their method; they perform ‘preclosure’ and ‘postclosure’ calculations and skip over mathematical description of the closure process itself. Finally, we realized that the advocates of the holistic method have never provided any independent measurements that confirm their closure picks (a point conceded by Craig et al. in their new paper). Because we’ve martialed a powerful combination of theory and data to support the fracture compliance method, and advocates of the holistic method have not, there has been growing interest and acceptance of the fracture compliance method.
Advocates of the holistic method have written a series of papers in which they confidently assert that the holistic method is correct, without providing any justification from theory or data (ie, SPE 179134, 184866, and the response to SPE 179725). Thus, their new SPE paper, in which they claim to validate their method with independent measurements, is of great interest.
Tiltmeter data
Figure 6 from Craig et al. (2017) shows tiltmeter measurements during fracture reopening during Injection 4B from the M-site field demonstration project. Because the paper is copyrighted by SPE, the figure is not reproduced below. Instead, I reproduced the tiltmeter measurement shown in their Figure 6c by tracing over the curve with a stylus. The tilt is measured as ‘negative’ so the curve goes down as the crack opens. The figure from Craig et al. (2017) also shows the concurrent fluid pressure, but I have shown only the tilt for clarity. Their Figures 6a and 6b are qualitatively the similar, so they are not reproduced.

If you showed this plot to 100 people who know nothing about DFIT and asked them to label the most important point on the graph (without showing the arrows and labeled points drawn above), I would wager than zero out of 100 would identify Point B. Point A is where the tilt first deviates visibly from a flat line, and Point C is where it abruptly begins to change very rapidly. Nothing occurs at Point B.
As labeled in Figure 6 from Craig et al. (2017), the fluid pressure at Point C corresponds to the reopening pressure predicted by the fracture compliance method (3200-3300 psi). The fluid pressure at Point B is the reopening pressure predicted by the holistic method (2900 psi). Neither method predicts reopening at Point A, a much lower pressure of 2100 psi.
Prior to Point A, Figure 6 from Craig et al. (2017) shows that the fluid pressure is constant. This implies that injection almost certainly starts at Point A. Thus, as soon as injection begins, fluid begins to seep into the fracture and cause slight deformation. As fluid pressure increases in the fracture, the walls remain in contact, but the walls begin to slightly separate (this occurs between points A and C). When the fracture walls are in contact, the aperture is controlled by a nonlinear joint closure process, as described in countless papers in the rock mechanics literature (indeed, this is the key underlying insight underlying the fracture compliance method). For example, you can refer to Chapter 12 from “Fundamentals of Rock Mechanics” by Jaeger, Cooke, and Zimmerman, or the canonical paper by Barton et al. (1985). Once the fluid pressure reaches the normal stress, the fracture walls begin to separate. The absence of contact stress along the fracture face makes it much more compliant and so the fracture is now able to open rapidly. The opening goes far off the scale of the graph – the deformation between Points A and C is very small compared to the total opening experienced by the fracture after Point C (most of which is not visible on the plot, which is zoomed-in to show only the start of injection). Figure C is the point of fracture ‘reopening’, the point at which the fluid pressure exceeds the normal stress on the crack and the walls come out of contact, enabling large increase in fracture aperture. Figures 9-10 from SPE 187348 by Wang and Sharma (2017) illustrate the process of gradual stiffness/compliance evolution as a fracture unloads prior to reopening (or equivalently, as it loads after closure), and the process is described theoretically in the appendix of SPE 179725 by McClure et al. (2016).
Yet, Craig et al. (2017) claim the opposite – they claim this data supports the holistic prediction that reopening occurs at Point B. How could they possibly make this claim? That’s hard to answer, because they don’t provide any discussion or justification for the claim in their paper. Further, I reached out to the authors of this paper, and they declined to discuss it with me. But I can go a bit further to unpack some of the other problems in this paper that might shed light on their thought process.
In their Equation 4c, they posit that after fracture closure (which they define as being when the fluid pressure is equal to the minimum principal stress – this is not precisely correct, but pretty close), the system storage is due solely to the compressibility of the water in the wellbore and the fracture. In other words, they assume that fracture aperture is constant (zero fracture compliance, or infinite fracture stiffness) after closure. This is absolutely, unequivocally incorrect. In their Equation 6c, they state that in our paper on the fracture compliance method, SPE 179725, we also made the same assumption. This is galling because, in fact, in the discussion after Equation A-10 of McClure et al. (2016), we explicitly state that their Equation 4c is invalid. Our paper has a paragraph explaining that this equation is based on an unrealistic assumption, we did not use it, and it is a key flaw to Craig and Blasingame’s earlier paper, SPE 100578. Claiming that we used that equation, when in fact we provided a detailed explanation of why it is invalid, is an egregious inaccuracy.
In the Appendix to SPE 179725, we go through the rock mechanics literature on the stiffness of mechanically closed fractures. Simple back-of-the-envelope calculations (using parameters from countless experimental results from the rock mechanics literature) indicate that when the walls come into contact, the changing fracture volume, due to this nonlinear joint closure process, is the dominant source of storage in the system. It is completely invalid to assume that fracture volume is constant after the walls come into contact, which is what Craig et al. (2017) are claiming (and even more inexplicably, they are claiming that’s we are claiming).
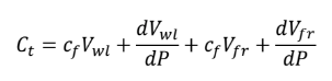
Equation A-9 from SPE 179725 provides an expression for system storage that “applies during all phases of a fracturing test: during injection, the before-closure shut-in period closure, and the after-closure shut-in period.” That equation is:
This equation, which we derive from the mass balance equation, indicates that storage has four components: compressibility of water in the wellbore and fracture and changing wellbore and fracture volume. We explain that changing fracture volume is the dominant effect, with compressibility of water in the wellbore as a secondary factor (though in certain circumstances, such as in laboratory experiments or microfrac tests, it could reach similar magnitude as changing fracture volume). Inexplicably, in their Equation 6, Craig et al. (2017) claim that we use a variety of other equations to describe system storage. As shown by the quote above, that is directly contradictory to what we actually said in our paper. The mischaracterization is convenient for Craig et al. (2017) because it papers over what we have identified as a critical error in their analysis – their assumption that fracture aperture is constant after closure.
After closure, the fractures stiffness asymptotically approaches infinity. Thus, at some point, the changing fracture volume does become negligibly small relative to the compressibility of the fluid in the well. Perhaps this is why Craig et al. continue to insist that changing fracture volume can be neglected after closure? Following the analysis in the appendix of SPE 179725, we can estimate whether that is plausible. Let’s define that the changing fracture volume term, dV_fr/dP, is ‘negligible’ once it is less than 10% of wellbore storage term, c_f*V_wl. Using representative values, we calculate in SPE 179725 that a typical wellbore storage term is 0.0458 m^3/MPa, and a typical changing fracture volume term prior to closure is 0.48 m^3/MPa. Using Equations A-15 and A-16 from SPE 179725, we can calculate dV_fr/dP when fluid pressure is below the normal stress on the fracture. Using values of E0 (the residual aperture when the walls come into contact) equal to 0.5 mm and snref (the effective normal stress at which aperture drops to 10% of E0) equal to 5 MPa, and the other representative fracture parameters used in Appendix A from SPE 179725, we can calculate that dV_fr/dP is less than 10% of the wellbore storage term once the fluid pressure is about 10 MPa below the minimum principal stress. Using a slightly stiffer fracture, snref equal to 10 MPa, then dV_fr/dP is less than 10% of wellbore storage once fluid pressure is about 16 MPa below the minimum principal stress. Using a stiff fracture, snref equal to 45 MPa, dV_fr/dP is less than 10% of wellbore storage once fluid pressure is about 26 MPa below the minimum principal stress.
Figures 33 and 37 from Wang and Sharma (2017) show plots of system stiffness versus fluid pressure. dV_fr/dP is negligible if system stiffness becomes constant with respect to changes in pressure (ie, a flat line on the plot). This is not seen on the plot because it occurs at a fluid pressure much lower than the minimum value of pressure in the plot’s y-axis.
Thus, it is incorrect to assume that changing fracture volume after closure is negligible. dV_fr/dP becomes negligible at a pressure much lower than the minimum principal stress.
If you did accept Craig et al.’s unphysical premise (that the fracture has zero compliance after closure), then you might claim that the fracture ‘opens’ when tilt is first measured. Even in this unrealistic “thought experiment,” the observations presented by Craig et al. (2017) would strongly refute the holistic method. As shown in the figure above, the tilt first deviates from a straight-line at Point A, at a pressure much lower than the reopening pressure predicted by the holistic method (Point A is at 2100 psi, and Point B is at 2900 psi). This is not unique to the data in Figure 6c. The same observations apply to the data in Figure 6a and 6b. There is not any notable deflection in the tilt data at Point B, where the holistic method predicts reopening.
There is yet more data available that contradicts the holistic interpretation from Craig et al. (2017). Figure 15 from SPE 179725 shows tiltmeter data from the same well and the same interval during Injection 2B, an injection performed shortly before the Injection 4B data shown in Figure 6 from Craig et al. (2017). Like the figure from the Craig paper, Figure 15 from SPE 179725 shows the fracture reopening at a pressure consistent with the compliance method pick and inconsistent with the holistic pick. The data in Figure 15 from SPE 179725 is so well-known that was reproduced in the widely-used textbook “Reservoir Stimulation,” in Figure 9A-4 in a section called “What is Closure Pressure?” In that figure, the authors of that chapter, Gulrajani and Nolte, label the closure pressure as 3470 psi, which is close to the compliance method pick and much higher than the holistic pick. So if you don’t believe me, then perhaps you’d be willing to believe Ken Nolte, founder of the modern science of fracture analysis, who looked at the tiltmeter data from the same well and identified a closure/reopening pressure much higher than claimed by Craig et al. (2017). Nolte felt sufficiently confident in this pick that he published this result in one of the canonical textbooks of our field. Finally, Gulrajani and Nolte note that a step-rate test was performed in this well, and that result was also consistent with the higher value of closure pressure (which again, is consistent with the compliance method interpretation and inconsistent with the holistic analysis). Craig et al. (2017) do not mention these other published references who looked at the same data and came to the opposite conclusion, except to mention the step-rate test and speculate that the step-rate test may be unreliable because the pressures response was not ‘smooth’ enough.
In Figure 14, Craig et al. (2017) provide data from a different test, the injections in the “C” sands. The plots show that when the fluid pressure reaches their holistic closure pick, there is no apparent reopening of the fracture, and that there is a very large, abrupt reopening of the fracture later at a much higher pressure. Their Figure 14b actually shows the fracture experiencing gradual closure at their predicted reopening pressure (probably due to effects from the previous injection cycles), and then later, a sharp and abrupt reopening at a much higher pressure.
Update: At the Q/A session after this paper was presented at ATCE, I asked a question and pointed out that the figures show abrupt reopening at the point where fluid pressure reaches the reopening pressure predicted by the compliance method, with no deflection at the pressure predicted by the holistic method. David Craig responded that the because the injection rate was not constant (and unfortunately it is not shown in their figures), that you cannot identify reopening solely from changes in the plot of tilt versus time. There is some merit to this point – it is why previous investigators (Nolte and Gulrajani in Figure 9A-4 from Reservoir Stimulationand McClure et al. in Figure 15 from SPE 179725), who looked at tiltmeter data from the same well, plotted tilt versus pressure instead of tilt versus time. Those tilt versus pressure plots unambiguously indicate that reopening occurs at the pressure corresponding to the fracture compliance prediction. Consider the inconsistency of David Craig’s response – he defended his interpretation of his Figure 6 by arguing that it is impossible to perform an interpretation based on Figure 6.
Analysis of laboratory experiments
In a previous post, I provided a detailed analysis of the problem with applying a G-function analysis to laboratory fracturing data. I provide only a brief recap in this section. For more detail, refer to my previous post.
The G-function is derived so that it is proportional to cumulative leakoff volume after shut-in. As described in a previous post, this property means that pressure versus G-time should ideally make a straight line following shut-in. However, this property is based on the assumption of Carter leakoff, which is only valid if fluid pressure in the fracture is approximately constant. This is a reasonable assumption in the majority of DFITs, because net pressure is smaller than the difference between Shmin and formation fluid pressure. In field DFITs, it is not uncommon for leakoff to deviate from Carter leakoff prior to closure (this occurs in formations with high fluid pressure, close to Shmin). This is a critical, mostly unappreciated point that has a big impact on interpretation of some DFITs (see discussion in SPE 187348 by Wang and Sharma). In SPE 186098, I show that the peak in G*dP/dG occurs due to the onset of impulse flow, which occurs due to deviation from Carter leakoff as fluid pressure in the fracture drops. This provides a physical interpretation for the holistic method of picking closure – the onset of impulse flow due to deviation from Carter leakoff.
In laboratory fracturing experiments, fluid pressure tends to be much greater than the minimum principal stress (ie, high net pressure). Fracture strength decreases with size, and so when you have a very small fracture in the lab, it is relatively difficult to propagate the fracture and it requires high net pressure. For example, Figure 16 from Craig et al. (2017) shows laboratory data in which pressure drops from about 30 MPa at shut-in to the minimum principal stress at 15 MPa. A 50% reduction in fracture fluid pressure completely invalidates the Carter leakoff assumption underlying the G-function. The other laboratory data shown by Craig et al. (2017) similarly has very large net pressure and very large pressure change prior to reaching Shmin. In the field, near-wellbore fracture complexity may cause the ISIP (initial shut-in pressure) to be much larger than the actual fluid pressure in the fracture at shut-in. But in these laboratory experiments, the ISIP corresponds to the actual fluid pressure in the fracture at shut-in.
The deviation from Carter leakoff causes leakoff to occur more slowly than ‘expected’ by the definition of G-time. Consistent with this, the laboratory data reviewed by Craig et al. (2017) shows dP/dG decreasing strongly prior to reaching Shmin (ie, curving downward G*dP/dG). Craig et al. (2017) call this “pressure dependent leakoff” and describe this as a period of anomalously high permeability in the early shut-in period that may be caused by dilation of secondary fractures and fissures. While pressure dependent permeability might occur in some field tests, in this laboratory data, it is without question caused by deviation from Carter leakoff due to dropping of fluid pressure from the high net pressure at shut-in.
This deviation from Carter leakoff has a very strong overprint over the behavior of the transient when plotted on a G-function plot. It tends to cause G*dP/dG to curve downward (as shown in a figure from my previous post). When closure occurs, this increases stiffness and causes G*dP/dG to tend to curve upward. The two effects occur simultaneously in the lab experiments, causing a complex behavior from which closure cannot easily be inferred from a G-function plot. Wang and Sharma (2017) propose a useful method for inferring fracture stiffness in the case of pressure deviating from Carter leakoff (see their Figures 33 and 37). Because of the strong deviation from Carter leakoff, the method of Wang and Sharma (2017) would be a much more appropriate method of interpreting the laboratory data, rather than a G-function plot.
Because Craig et al. (2017) don’t realize that the deviation from Carter leakoff has a strong effect on the transient, nearly every aspect of their laboratory data interpretations is invalid. They claim this data ‘refutes’ the compliance method because G*dP/dG does not curve upward at closure, but the compliance method was designed for field tests, not laboratory tests with huge net pressure, which causes deviation from Carter leakoff to overprint on the transient and prevents the upward deflection.
Of course, when we wrote SPE 179725, we were aware that G*dP/dG does not curve upward in all DFITs, even many in low permeability formations (the behavior in high permeability formations is fundamentally different, as described in SPE 179725). The deviation from Carter leakoff is the explanation in many or most of these cases. We discussed the effect of deviation from Carter leakoff in the original version of SPE 179725, but it was removed because the editors asked us to shorten the paper. That discussion was subsequently published in SPE 186098, and Wang and Sharma (2017) provide an even more detailed explanation.
Craig et al. (2017) claim that the lab data ‘validates’ the holistic method. But their holistic picks are not particularly close to the true values of Shmin. In some cases, the holistic picks are unsupportable, but conveniently placed near Shmin, which the authors knew when they made the ‘interpretation.’ For example, their Figure 16 shows that G*dP/dG is almost perfectly flat after the early shut-in period. They make the ‘holistic’ closure pick in the middle of the flat line, conveniently near the location of Shmin (which they knew when they made the pick). If you showed that data to 100 interpreters that did not know Shmin and asked them to apply the holistic method, I doubt that many would pick closure where Craig et al. (2017) have shown in Figure 16 – the middle of a flat line.
Craig et al. (2017) show one ‘blind’ test where they picked closure without knowing Shmin and then asked the experimentalist (Hans de Pater) to tell them after what the true value was. Their estimate is not particularly close, but is in the ballpark. I contacted Dr. de Pater, and he told me that Craig et al. actually did several blind tests. Yet they only show the result from one of the blind tests, presumably the one that got closest to the correct answer. In any case, their interpretation fails to realize the dominant effect of the deviation from Carter leakoff (due to decreasing pressure in the fracture over time) on the shape of the G*dP/dG curve. Because of this fundamental misunderstanding, their closure picks are little more than guesses based on an incorrect physical understanding of the system.
